把分母化为有理数
| "把分母化为有理数" 是把一个方根(像平方根 或 立方根)从一个分数的下面移到上面。 |
糟了!无理的分母!
分数下面的部分叫分母。
像 2 和 3 的数叫 有理数。
但很多方根,例如 √2 和 √3,是 无理数。
例子:
的分母是无理数。
在其"最简单"的形式,分数是没有无理的分母的!
修补(把分母化为有理数)
便是 "把分母化为有理数"
注意:无理分母并不是错的,不过它不是"最简单"的形式,所以老师可能会扣分。
把无理数从分母移除也会帮助你解方程,所以学会这个运算是有用的。
怎样做?
一、把上面和下面乘以一个方根
有时只需把上面和下面乘以一个方根:
注意:分数的上面(分子)可以含有无理数。
二、把上面和下面乘以共轭
还有一个特别的方法来把平方根从分数的下面移到上面……把上面和下面乘以分母的 共轭。
共轭是把两个项中间的正负号倒转的结果:
| 例式 | 共轭 | |
|---|---|---|
| x2 − 3 | x2 + 3 |
| 例式 | 共轭 | |
|---|---|---|
| a + b3 | a − b3 |
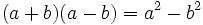
这个很管用,因为把一个式子与其共轭相乘会得到平方项,像这样:
![]()
做法:
例子:这是有"无理分母"的分数:
![]()
怎样把2的平方根移到上面?
答案:把上面和下面乘以3−√2 的共轭(这不会改变分数的值):

(留意到我们在分母上用了这个公式
吗?)
有用!
把这个记住着,将来可能有用!
