n次方根
n个 "n次方根" 相乘的结果是原来的数
" n次?"
1次、2次、3次、4次、5次……n次……
在讨论一般情形时,我们用 "n次",而不用 "4次"、"16次" 等等。
n次方根
| 2 | 就像把两个平方根相乘来得回原来的数。 | |||
| 3 | 把三个立方根相乘来得回原来的数。 | |||
| …… | …… | …… |
||
| n | 把 n 个 n次方根相乘来得回原来的数。 |
这是描述方根的一般方法
(所以可以是 2次、9次、324次、或任何次方)
n次方根符号
这是 "n次方根"的符号,就是"方根" 符号(平方根)旁边加个小 n 来代表 n次方根。 |
应用
我们可以这样使用 n次方根:
问题:在这个方程里 "n" 是多少?
![]()
答案:我知道 625 = 54,所以 625 的 4次方根必然是 5:
![]()
我们也可以用 "n",因为我们想作一般的描述:
例子:当 n 是奇数时
(下面会再讲这个)。
为什么叫 "根" ……?
![]() |
看到"根"字,你应该想: "我知道树,但它的根是什么?" 例子:在 √9 = 3 里,"树" 是 9,根是 3。 |
属性
知道 n次方根是什么后,我们来了解它的属性:
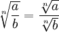
乘法与除法
我们可以把方根符号里的乘法 "拆出来":
![]()
(如果 n是偶数,a 和 b 都需要 ≥ 0)
我们可以用这个来简化代数方程和一些计算:
例子:![]()
除法也一样:
![]()
(a≥0,b>0)
(b 不能是零,因为不能除以零)
例子:

加法与减法
但是,我们不能在加法或减法里这样做!
![]() |
这是很容易犯的错误。这也代表在方根里的加法和减法是比较难处理的。
指数与方根
"=" 号一边的指数可以变成另一边的方根:
| 若 |
例子:
a 的 n次方的 n次方根
一个指数为 n 的数的 n次方根就是原来的数 ……
当 a 是正数(或零)时: |
(当 a ≥ 0 时) |
例子:![]()
…… 或者当指数是奇数时: |
(当 n 是奇数时) |
例子:![]()
…… 但当 a 是负数,并且指数是偶数时:
![]()
留意 -3 变成 +3 了吗?
| …… 所以: | (当 n 是偶数时) |
(注意:|a| 的意思是 a 的绝对值,就是说负数变成正数)
例子:![]()
所以必须小心!去阅读负数的指数来了解更多。
在列表里会清楚一点:
| n 是奇数 | n 是偶数 | |
|---|---|---|
| a ≥ 0 | ||
| a < 0 |
a 的 m次方的 n次方根
现在我们来看当指数不等于方根时的情形(m 和 n)。
例子:![]()
所以 …… 我们可以把指数从 n次方根里 "拿出来"。有时这是有用的。
但更有用的是 …… 我们可以把指数与方根结合成为一个新的指数:
| 例子: |
这是因为 n次方根与指数为 (1/n) 是一样的:
| 例子:2½ = √2(2 的平方根) |
你也许想阅读分数指数来了解为什么!


