三角法恒等式
你也许想先去看看 三角法!
直角三角形
三角法恒等式是对于直角三角形来说是成立的方程。(若不是直角三角形,你可以去 三角形恒等式 看看。)
直角三角形的每一条边都有个名字:
邻边一定实在角的旁边
对边是在角的对面
我们会学习很多不同的函数,但它们都是从一个简单的三角形衍生出来:
- 角 θ
- 斜边
- 邻边
- 对边
正弦、余弦和正切
三角法里的三个主要函数是 正弦、余弦和正切。
它们只不过是 一边的长度除以另一边的长度
对于一个直角三角形,其中一个角(不是直角)为 θ:
正弦函数: |
sin(θ) = 对边 / 斜边 |
余弦函数: |
cos(θ) = 邻边 / 斜边 |
正切函数: |
tan(θ) = 对边 / 邻边 |
以给定角度 θ,这三个比是不变的,它们的值
并不会随着三角形的大小而改变
把正弦除以余弦的结果是:
![]()
所以:
tan(θ) = sin(θ)/cos(θ)
这是第一个 三角法恒等式。
余割、正割和余切
我们也可以"反过来"除(例如 邻边/对边):
余割函数: |
csc(θ) = 斜边 / 对边 |
正割函数: |
sec(θ) = 斜边 / 邻边 |
余切函数: |
cot(θ) = 邻边 / 对边 |
例子:若 对边 = 2,斜边 = 4,则
sin(θ) = 2/4, csc(θ) = 4/2
所以:
sin(θ) = 1/csc(θ)
cos(θ) = 1/sec(θ)
tan(θ) = 1/cot(θ)
反过来:
csc(θ) = 1/sin(θ)
sec(θ) = 1/cos(θ)
cot(θ) = 1/tan(θ)
同时:
cot(θ) = cos(θ)/sin(θ)
勾股定理
接下来我们从 勾股定理开始:
![]() |
勾股定理说:在直角三角形里,a的平方加b的平方等于c的平方: a2 + b2 = c2 |
除以 c2:
a2 c2 = b2 c2 = c2 c2
简化为:
( a c )2 + ( b c )2 = 1
a/c 是 对边 / 斜边,就是 sin(θ)
b/c 是 邻边 / 斜边,就是 cos(θ)
所以 (a/c)2 + (b/c)2 = 1 也可以写成:
sin2 θ + cos2 θ = 1
- sin2 θ 的意思是 θ 的正弦的平方,
- sin θ2 的意思是 θ 的平方的正弦
例子:32°
保留四位小数:
- sin(32°) = 0.5299……
- cos(32°) = 0.8480……
求 sin2 θ + cos2 θ:
0.52992 + 0.84802
= 0.2808…… + 0.7191……
= 0.9999……
只用四位小数,答案已经非常接近1。用你的计算器来试试看!
以下是一些相关的恒等式:
sin2 θ = 1 − cos2 θ
cos2 θ = 1 − sin2 θ
tan2 θ + 1 = sec2 θ
tan2 θ = sec2 θ − 1
cot2 θ + 1 = csc2 θ
cot2 θ = csc2 θ − 1
怎样去记住这么多的恒等式?以上的恒等式都可以用
|
![]() |
慢着……还有更多!
还有很多恒等式……以下是一些比较有用的:
对角恒等式
sin(−θ) = −sin(θ)
cos(−θ) = cos(θ)
tan(−θ) = −tan(θ)
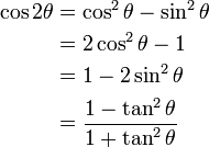
双角恒等式
![]() |
![]() |
半角恒等式
注意: "±" 的意思是 其中一个,视 θ/2 的值而定
![]() |
![]() |
![]() |
![]() |
角度和与角度差恒等式
注意:
的意思是可以用加或减,
的意思是用相反的正负号。

三角形恒等式
还有三角形恒等式,它们适用于所有三角形(不只是直角三角形)







